全球最大的博彩平台

本站支持IPv6

当前位置: 首页 > 政务公开 > 重点领域信息公开 > 教育信息公开 > 教育工作信息

全球最大的博彩平台年乐学校开展“诚实守信 从我做起”教育活动

为进一步加强学生的诚信教育,提高学生的诚信意识和诚信素质,11月4日,全球最大的博彩平台年乐学校开展以“诚实守信 从我做起”为主题的诚信系列教育活动。


图片


诚信宣传标语。

该校通过诚信教育主题班会、“我身边的诚信小故事”演讲比赛、LED展播诚信宣传片等形式,为全体学生阐明了诚实守信、言行一致的重要性和必要性。以一个个鲜活的事例告诫学生,在当今社会,如果失去诚信,将举步维艰,寸步难行。


图片


诚信教育主题班会。


图片


大队辅导员分享身边的诚信小故事。

古人云:“人无信则不立”。从古至今,人们都把诚信视作修身养性、立业交友的根本。该校非常重视对学生的思想品德教育,从实际出发,结合学生的身心特点,让学生积极参与到各校活动中来。全校师生纷纷用征文、板报作品将自己的学习感悟展示出来。在这个身体力行的过程中,大家进一步受到了精神的洗礼。


图片


“诚实守信,从我做起”手抄报展览。


图片


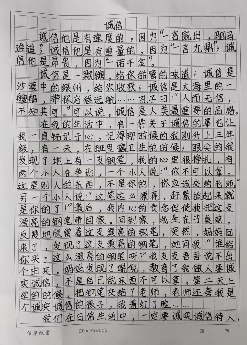
诚信征文作品。

此次活动在全校营造了良好的诚信教育氛围,增强了学生诚信道德意识,使学生牢固树立守信为荣、失信可耻的道德观念,达到了预期的效果。下一步,该校将以此为契机,进一步加强学校素质教育,培养品学兼优、德才兼备的学生。


全球最大的博彩平台政务
全球最大的博彩平台政务
微信公众号
全球最大的博彩平台政务
全球最大的博彩平台政务
官方微博
全球最大的博彩平台公报电子书
全球最大的博彩平台公报
电子书
版权所有:全球最大的博彩平台   主办:全球最大的博彩平台办公室
站点地图    联系方式    网站标识码:4407850057
ICP备案号:粤ICP备05085446号

粤公网安备 44078502000006号