全球最大的博彩平台2019年公开招聘教师入围面试资格复审通知
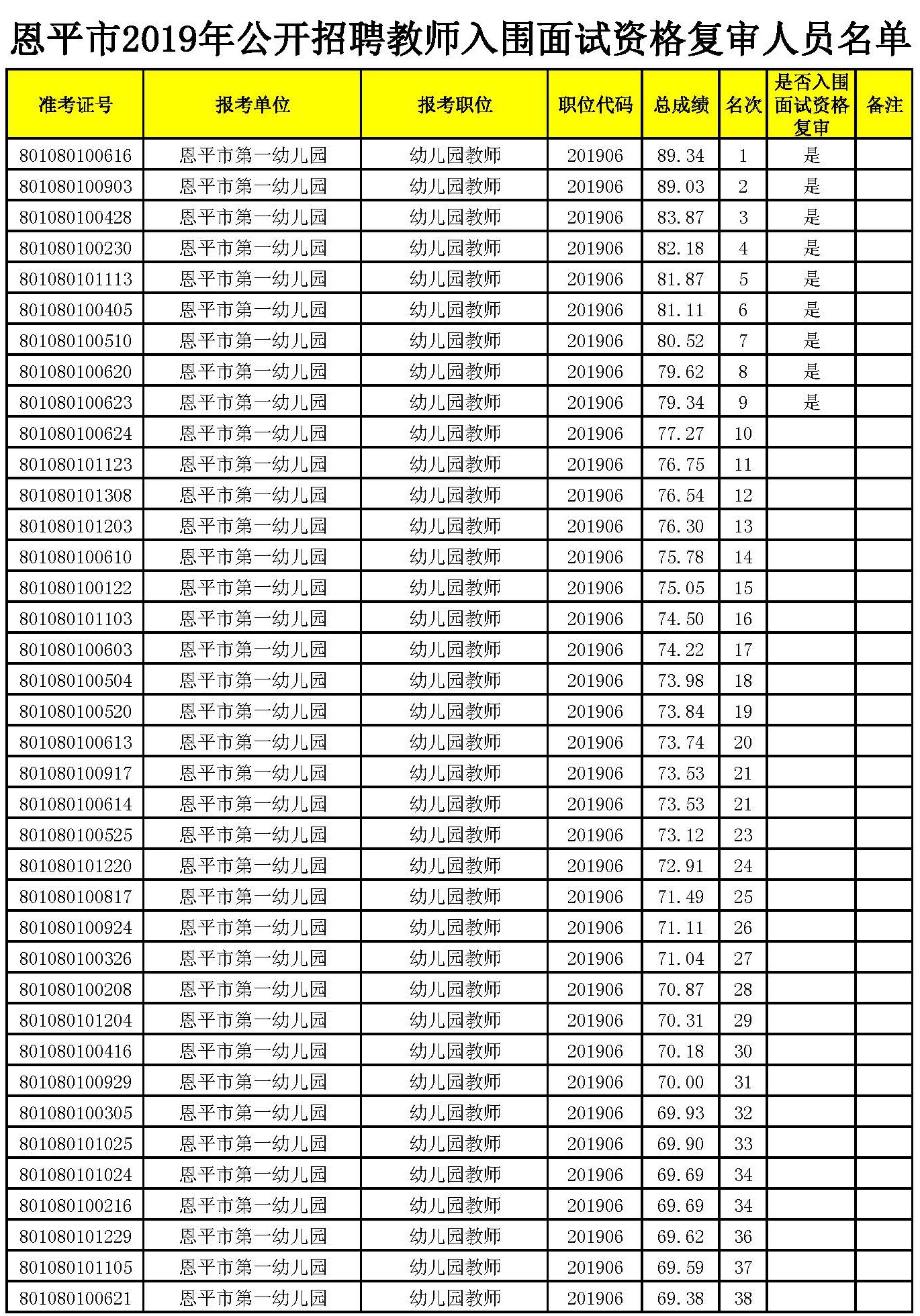
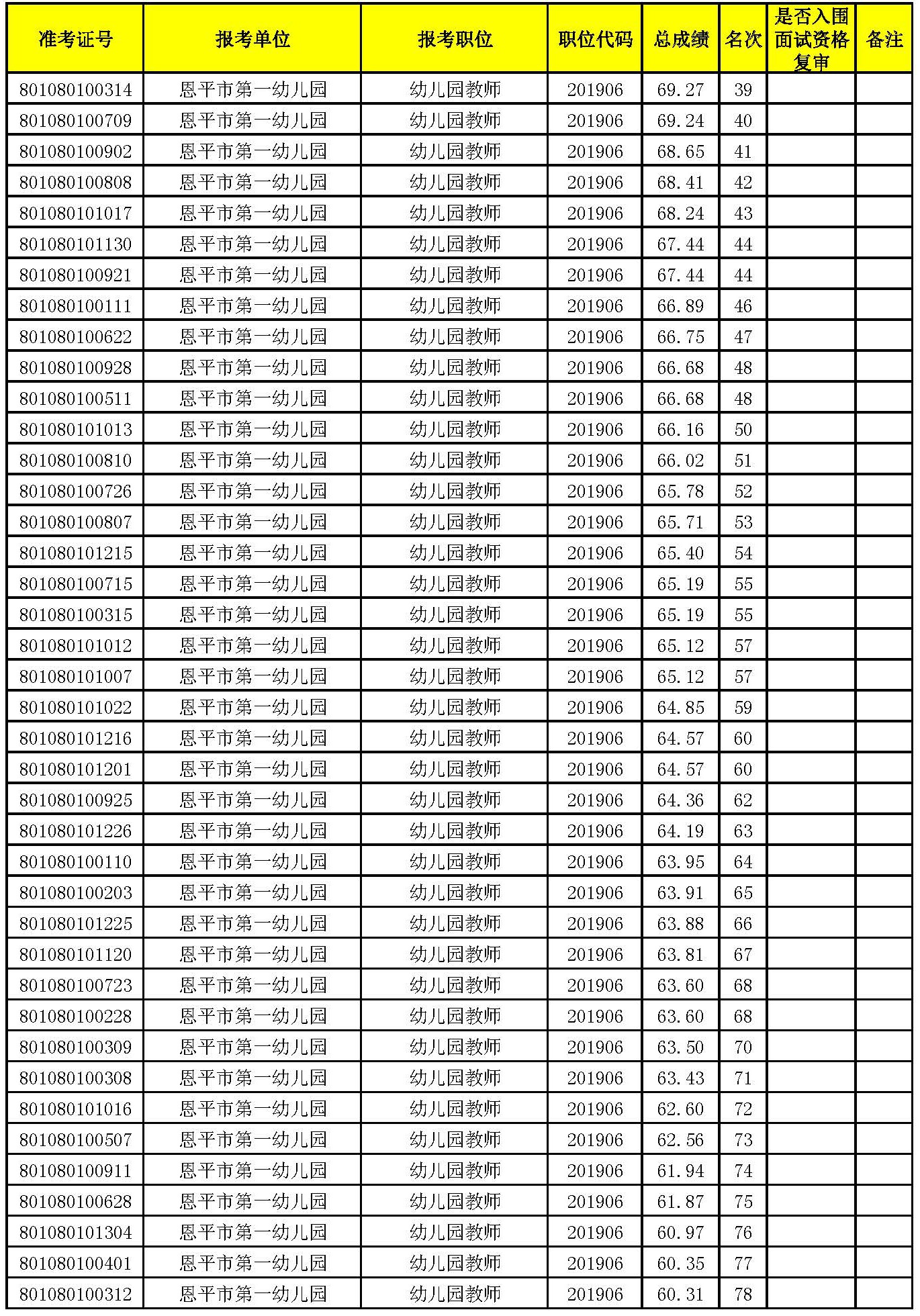
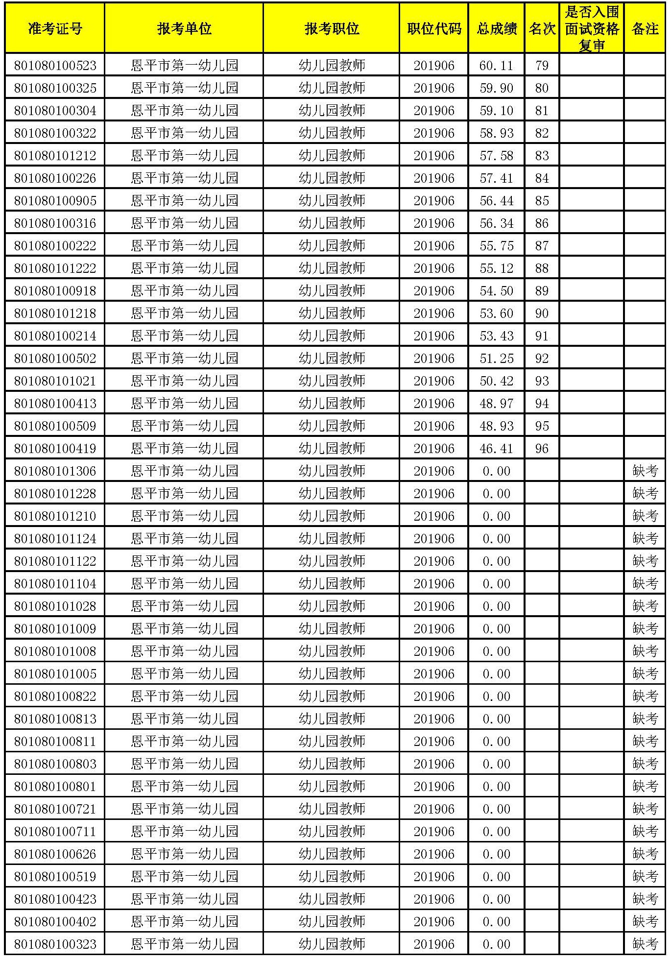
根据《全球最大的博彩平台2019年公开招聘教师公告》规定,合格分数线以试题最高分60%确定,划定为54.54分。入围面试对象在笔试成绩达到合格分数线以上的人员中分岗位按入围面试比例(1:3)以成绩由高到低为序,确定入围面试资格复审人员名单(详见附件)。
资格复审时间:2019年6月13日至6月14日早上9:00-12:00,下午2:30-5:00,地点:全球最大的博彩平台教育局人事股(全球最大的博彩平台恩城小岛锦茂路1号)。
附件:全球最大的博彩平台2019年公开招聘教师入围面试资格复审人员名单









